Notice
Recent Posts
Recent Comments
Link
| 일 | 월 | 화 | 수 | 목 | 금 | 토 |
|---|---|---|---|---|---|---|
| 1 | 2 | 3 | 4 | |||
| 5 | 6 | 7 | 8 | 9 | 10 | 11 |
| 12 | 13 | 14 | 15 | 16 | 17 | 18 |
| 19 | 20 | 21 | 22 | 23 | 24 | 25 |
| 26 | 27 | 28 | 29 | 30 |
Tags
- DDPM
- 최대 가능도 추정
- 모수 추정 방법
- 딥러닝
- CNN
- Action Recognition
- Focal loss
- 포인터
- posec3d
- computer graphics
- C++
- Unreal Engine
- 티스토리챌린지
- covolution
- OpenGL
- Vision Transformer
- Image denoising
- mobilenet
- 최대 사후 확률
- 오블완
- Diffusion
- deformable covolution
- convolution
- Deep Learning
- depthwise convolution
- Swin Transformer
Archives
- Today
- Total
심드렁하게 저장
최적화 - RAdam (Rectified Adam) 본문
Rectified Adam Optimizer란
- RAdm Optimizer는 기존의 Adam optimizer의 문제점을 개선한 최적화 방식이다. Adam Optimizer는 학습률이 기하급수적으로 늘어날 수도 있고, 학습을 너무 빨리 하여 local minima에 도달할 수 있다는 단점이 있다.
- RAdam은 학습이 너무 빠르다는 문제를 완화한 optimizer로 초기에 불안정하게 학습하는 Adam의 특성을 분석하여 고안되었다.
- 따라서 RAdam은 Adaptive Learning Rate의 신뢰도를 보정하는 보정 계수를 도입하였다. 이는 Variance rectification term을 통해 학습 초기에 Adam이 흔들리지 않도록 안정화 시킨다.
- 또한 논문에서는 두 가지 분산 감소 매커니즘을 평가한다
- Adam-2k: 학습 초기에 2k 스텝 동안만 적응형 학습률 ($V_{t})을 계산하고 파라미트 업데이트를 하지만 모멘텀($m_{t})은 계산하지 않는다
- Adam-eps : 큰 $\epsilon$을 사용하는 Adam 변형
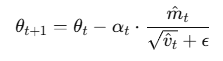
수식 정리
Adam은 다음의 수식을 통해 1차, 2차 모멘텀을 추정한다.

(Adam Optimizer에 대한 설명은 아래 포스팅에 정리해 두었다.)
최적화 - Adam Optimizer (Adaptive Moment Estimation)
1. Adam Optimizer란?Adam(Adaptive Moment Estimation) 옵티마이저는 확률적 경사 하강법의 개선된 버전으로, 모멘텀(Momentum)과 RMsprop을 결합한 최적화 알고리즘이다. Adam은 각각의 매개변수에 대해 학습률을
ggoosae.tistory.com
RAdam에서는 $\hat{v_{t}}$의 분산이 클 경우 학습률을 줄이기 위해 다음을 도입:

여기서 $\alpha_{t}$는 Rectification Term을 고려해 조정된다. 신뢰 가능한 분산 추정치를 판별하기 위해 $p_{t}$를 도입했다.

- $p_{\infty}$ : $2/1-\beta_{2} - 1$ : 이론상 최대값
- $t$ : 현재 step
- $\beta_{2}$: 모멘텀 파라미터
이때 적용 조건은 다음과 같다
- $p_{t} > 4$ : 분산이 신뢰할 수 있는 수준 , recitified term 적용
- $p_{t} < 4$ : 초기단계로서 Adam대신 SGD 사용
RAadm은 warm-up 없이도 학습률을 안정적으로 적용 가능하며 Adam의 빠른 수렴 속도와 SGD의 안정적 수렴 성질을 모두 지니고 있다. 또한 Adam보다 하이퍼 파라미터의 민감도가 낮아 튜닝이 더 편리하며 다양한 작업에서 성능향상이 확인되었다고 한다.
코드 구현
아래 구현은 pytorch로 구현한 RAdam optimizer이다.
import torch
from torch.optim.optimizer import Optimizer
class RAdam(Optimizer):
def __init__(self, params,
lr=1e-3, betas=(0.9, 0.999), eps=1e-8, weight_decay=0):
defaults=dict(lr=lr,betas=betas,eps=eps,weight_decay=weight_decay)
super().__init__(params, defaults)
'''
defaults : optimizer class dict
params : 파라미터 리스트
lr : 학습률
betas : Tuple(beta1,beta2)
eps: epsilon값
'''
def step(self):
# self.param_groups는 optimizer에 선언되어있음
for group in self.param_groups:
for p in group['params']:
# gradient가 None이면 skip
if p.grad is None:
continue
grad = p.grad.data
state = self.state[p]
# state 초기화
if len(state) == 0:
state['step'] = 0
state['exp_avg'] = torch.zeros_like(p.data)
state['exp_avg_sq'] = torch.zeros_like(p.data)
exp_avg, exp_avg_sq = state['exp_avg'], state['exp_avg_sq']
beta1, beta2 = group['betas']
state['step'] += 1
t = state['step'] # 현재 스텝
# 업데이트
exp_avg.mul_(beta1).add_(grad,alpha=1-beta1)
exp_avg_sq.mul_(beta2).addcmul_(grad, grad, value=1 - beta2)
# Recitification term
rho_inf = 2 / (1 - beta2) - 1
rho_t = rho_inf - 2 * t * (beta2 ** t) / (1 - beta2 ** t)
if rho_t > 4:
r_t = ((rho_t - 4) * (rho_t - 2) * rho_inf /
((rho_inf - 4) * (rho_inf - 2) * rho_t)) ** 0.5
denom = exp_avg_sq.sqrt().add_(group['eps'])
step_size = group['lr'] * r_t / (1 - beta1 ** t)
p.data.addcdiv_(exp_avg, denom, value=-step_size)
else:
step_size = group['lr'] / (1 - beta1 ** t)
p.data.add_(exp_avg, alpha=-step_size)
'Artificial intelligence > Deep Learning' 카테고리의 다른 글
| Swin Transformer - 이론과 구현 (0) | 2025.04.21 |
|---|---|
| Vision Transformer - 이론과 구현 (0) | 2025.04.17 |
| Transformer - Multi Head Attention (0) | 2025.04.14 |
| 가중치 초기화 기법 (Weight Initialization Techniques) (0) | 2025.03.19 |
| 학습률 스케줄링 (Learning Rate Scheduling) (0) | 2025.03.16 |