| 일 | 월 | 화 | 수 | 목 | 금 | 토 |
|---|---|---|---|---|---|---|
| 1 | 2 | 3 | 4 | |||
| 5 | 6 | 7 | 8 | 9 | 10 | 11 |
| 12 | 13 | 14 | 15 | 16 | 17 | 18 |
| 19 | 20 | 21 | 22 | 23 | 24 | 25 |
| 26 | 27 | 28 | 29 | 30 |
- 최대 가능도 추정
- Unreal Engine
- 딥러닝
- deformable covolution
- posec3d
- Image denoising
- mobilenet
- depthwise convolution
- Diffusion
- 티스토리챌린지
- computer graphics
- C++
- Vision Transformer
- OpenGL
- 최대 사후 확률
- covolution
- Deep Learning
- Focal loss
- Action Recognition
- Swin Transformer
- convolution
- CNN
- 모수 추정 방법
- 오블완
- DDPM
- 포인터
- Today
- Total
심드렁하게 저장
Convolution - Dilated Convolution, Deformable Convolution 본문
Convolution - Dilated Convolution, Deformable Convolution
Ggoosae 2025. 5. 6. 16:23Dilated Convolution

Dilated Convolution은 커널의 필터 사이를 띄워서 적용하는 연산이다. 즉, 샘플 간 간격(dilation rate) 을 넓게 벌려서 더 넓은 receptive field(CNN에서 출력 레이어의 뉴런 하나에 영향을 미치는 입력 뉴런들의 공간 크기)를 확보 할 수 있다. 기존 Convolution은 인접한 픽셀에만 반응하지만 Dilated Conv는 픽셀 사이를 건너뛰며 계산하므로 멀리 떨어진 정보까지 한번에 수용 가능하다. 또한 해상도 손실 없이 더 넓은 문맥을 담을 수 있다. Dilated Conv의 활용사례는 다음과같다.
| DeepLab v3+ | 여러 dilation rate로 multi-scale context 학습 |
| WaveNet | 오디오 생성 시, 시계열에서 넓은 의존성 모델링 |
| TCN (Temporal) | 시간 기반 장기 의존성 학습 |
| ResNet 변형 | 다운샘플링 없이 receptive field 확장 |
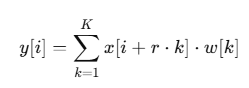
Dilated Conv의 수식은 다음과 같이 정리된다.

2D로 일반화:

| $X(i,j)$ | 입력의 위치 (i,j)의 픽셀값 |
| $W(m,n)$ | 커널의 위치 (m,n)에서의 가중치 |
| $r$ | dilation rate. 커널 위치 간 간격을 결정 |
| $X(i + r \cdot m, j + r \cdot n)$ | 입력에서 띄워진 위치의 값 |
| $Y(i,j)$ | 출력 feature map의 위치 (i,j)에서의 결과 값 |
Pytorch에서는 dilation param을 설정하여 구현할 수 있다.
import torch
import torch.nn as nn
class DilatedConv2d(nn.Module):
def __init__(self,in_channels, out_channels,kernel_size=3, dilation=1, padding=2):
super().__init__()
self.conv = nn.Conv2d(
in_channels, out_channels,kernel_size,
dilation=dilation,padding=padding
)
def forward(self,x):
return self.conv(x)
일반적인 Covolution과 비교하면 다음과 같은 결과를 얻을 수 있다.
from conv_module import DilatedConv2d,NormalConv2d
import torch
from torchvision.datasets import CIFAR10
from utils import normalize
import torchvision.transforms as transforms
import matplotlib.pyplot as plt
import numpy as np
import cv2
# Load Lenna.png
transform = transforms.Compose([
transforms.ToTensor()
])
image = cv2.imread('./Lenna.png')
image = cv2.cvtColor(image, cv2.COLOR_BGR2RGB)
image = transform(image)
normal_conv = NormalConv2d(3,3)
dilated_conv = DilatedConv2d(3,3)
with torch.no_grad():
normal = normal_conv(image)
dilated = dilated_conv(image)
images = [normalize(image),normalize(normal) ,normalize(dilated)]
titles = ['Input Image','Normal Convolution Output', 'Dilated Convolution Output']
plt.figure(figsize=(10, 5))
for i,img in enumerate(images):
plt.subplot(1, len(images), i + 1)
plt.imshow(np.transpose(img.cpu().numpy(),(1,2,0)))
plt.title(titles[i])
plt.axis('off')
plt.tight_layout()
plt.show()

Deformable Convolution

기존의 Convolution은 고정된 커널-3x3,5x5 등- 위치에서만 정보를 샘플링하지만 Deformable Convolution은 각 커널 위치에 대해 학습된 이동량-offset-을 더해서 입력 위치를 유연하게 조절할 수 있는 Conv 연산이다. 즉, 커널이 딱 정사각형이 아니라 비틀고 늘어지고 움직일 수 있는 커널이다. 이를 적용하면 기하학적으로 복잡하거나 비정형적인 물체 구조에도 잘 대응한다. 특히 객체 탐지, Segmentation, 키포인트 검출 등에 효과적이다. Deformable Covolution 활용모델은 다음과같다:
| Deformable ConvNet (DCNv1, DCNv2) | Faster R-CNN, Mask R-CNN에서 bbox 성능 향상에 사용됨 |
| HRNet | 포즈 추정, 키포인트 기반 검출에서 강력한 표현력 제공 |
| Multi-scale Vision Tasks | 다양한 scale의 객체나 국소 위치 이동 대응에 적합 |
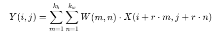
수식은 다음과 같이 정의된다:

| $y(p_0)$ | 출력 feature map의 위치 $p_0$에서의 결과값 |
| $w_k$ | 커널의 k번째 위치에 해당하는 필터 weight |
| $x(p_0 + p_k + \Delta p_k)$ | 입력 feature map에서 샘플링하는 위치. 일반 conv와 다르게 실수 좌표일 수 있음 |
| $p_k$ | 고정된 커널 위치. 예: $p_k \in [-1,0,1]^2$ |
| $\Delta p_k$ | 학습된 offset (각 위치마다 다름, 실수값) |
전체 구조를 요약하면,
- 일반 Convolution처럼 입력 feature를 받는다
- offset 전용 conv layer가 위치별로 $\Delta p_k$를 예측한다.
- 입력 위치를 offset만큼 이동시켜 실수 좌표에서 샘플링 : bilinear interpolation 필요
- 필터 weight와 곱해서 출력 생성
개념을 pytorch로 구현해보면 다음과 같다.
class DeformableConv2d(nn.Module):
def __init__(self):
super().__init__()
self.offset_conv = nn.Conv2d(3, 18, kernel_size=3, padding=1) # 2 * 3x3
self.weight = nn.Parameter(torch.randn(3, 1, 3, 3)) # Depthwise 구조
def forward(self, x):
B, C, H, W = x.shape
offset = self.offset_conv(x).view(B, 9, 2, H, W)
base_y, base_x = torch.meshgrid(
torch.arange(H), torch.arange(W), indexing='ij'
)
base_grid = torch.stack((base_x, base_y), dim=0).float().to(x.device)
base_grid = base_grid[None, None, :, :, :].expand(B, 9, -1, -1, -1)
sampling_grid = base_grid + offset # (B, 9, 2, H, W)
sampling_grid = sampling_grid.permute(0, 3, 4, 1, 2) # (B, H, W, 9, 2)
sampling_grid = sampling_grid / torch.tensor(
[W - 1, H - 1], device=x.device
) * 2 - 1 # normalize to [-1, 1]
outputs = []
for i in range(9):
grid = sampling_grid[..., i, :] # (B, H, W, 2)
sample = F.grid_sample(x, grid, align_corners=True)
outputs.append(sample)
out = torch.stack(outputs, dim=2) # (B, C, 9, H, W)
return out.sum(dim=2)
'Artificial intelligence > Deep Learning' 카테고리의 다른 글
| Denoising Diffusion Probabilistic Models (DDPM) 논문 리뷰 (0) | 2025.05.19 |
|---|---|
| Convolution - Depthwise Convolution & Pointwise Convolution (0) | 2025.04.23 |
| FocalLoss 이론과 구현 (0) | 2025.04.23 |
| Swin Transformer - 이론과 구현 (0) | 2025.04.21 |
| Vision Transformer - 이론과 구현 (0) | 2025.04.17 |